
導熱油爐,又稱導熱油加熱器,因加熱媒介為電,又稱導熱油電加熱器,電油爐,電加熱油爐,電導熱油爐,俗稱油爐。
防爆導熱油(有機熱載體)電加熱系統
概 述:
電加熱導熱油爐是一種新型、安全、高效節能,低壓(常壓下或較低壓力)并能提供高溫熱能的特種工業爐,以導熱油為熱載體,通過熱油泵使熱載體循環,將熱量傳遞給用熱設備。電加熱導熱油系統由防爆電加熱器、有機熱載體爐、熱油泵、膨脹槽等組合成一個撬塊,用戶只僅需接入電源、介質的進出口管道及一些電氣接口即可使用。
工作原理:
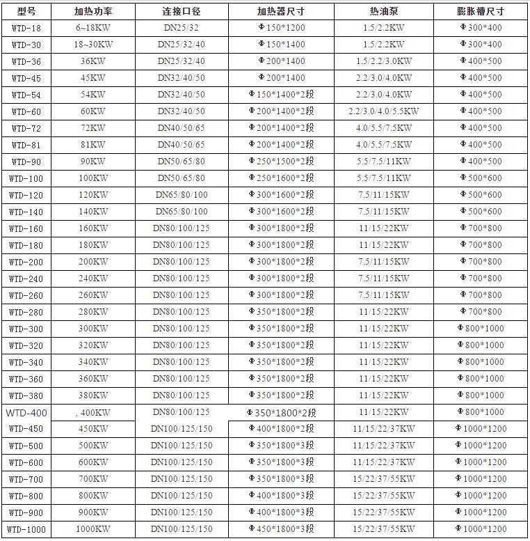
對于電加熱油爐,熱量是由浸入導熱油的電加熱元件產生和傳輸的,以導熱油為介質,利用循環泵,強制導熱油進行液相循環,將熱量傳遞給用一個或多種用熱設備,經用熱設備卸載后,重新通過循環泵,回到加熱器,再吸收熱量,傳遞給用熱設備,如此周而復始,實現熱量的連續傳遞,使被加熱物體溫度升高,達到加熱的工藝要求。規格型號:
以上參數僅供參考!!!具體參數根據客戶要求確定。
我們所提供的導熱油加熱器,具有壓力聯鎖報警、液位聯鎖報警、加熱器超溫報警及泵聯鎖功能!!
不同溫度下,不同管徑的保溫材料厚度不同。
材料:硅酸鋁棉 外表封皮:鋁或不銹鋼 濕度:81% 環境溫度:15.4℃ 風速:3.8m/s

|
||||||||||||||||||||||||||||||||||||||||||||